徠卡機器人全站儀助力三等水準測量
一、前言
目前高程測量方法一般分為幾何水準測量、GPS水準測量和三角高程測量三大類。采用傳統水準的方法測定點與點之間的高差,所得到的地面點高程精度較高,普遍用于建立國家高程控制點及測定高等級地形控制點的高程。對于地面高低起伏較大的地區,采用這種方法測定地面點的高程進程緩慢,有時甚至非常困難。

精密三角高程測量在丘陵地、山地、高山地區相比常規水準測量,因架站少、架站自由、靈活、快速,不需要量測儀器、棱鏡高,傳遞高程優勢顯著,能大大降低外業勞動強度,但受限于全站儀的硬件性能,此前一直未能在生產中實際應用;徠卡測量機器人的出現,打破了三角高程測量不能代替高精度水準測量的束縛,徠卡自動全站儀多測回自動觀測、自動識別限差,給野外測量帶來很大的便利,尤其夜間觀測成果更佳。
二、精密三角高程測量技術的可行性研究

作業流程:
檢測棱鏡互差,并檢核棱鏡的加裝是否符合要求,同時還要對全站儀進行組合檢校;
在起點布設棱鏡桿,在距離起點較近的一點(轉點1),布設主站;
主站在轉點1依次觀測棱鏡桿低棱鏡(①)和棱鏡桿高棱鏡(②);
主站不動,在轉點2架設輔站。依次進行如下觀測:后測站觀測低棱鏡(③)、前測站觀測低棱鏡(④)、前測站觀測高棱鏡(⑤)、后測站觀測高棱鏡(⑥);
主站換站至轉點3,輔站不動。依次進行如下觀測:后測站觀測低棱鏡(⑦)、前測站觀測低棱鏡(⑧)、前測站觀測高棱鏡(⑨)、后測站觀測高棱鏡(⑩);
輔站換站,依次循環進行高程的傳遞至接近末點處;
在最后的轉站,主站依次觀測末點高低棱鏡。
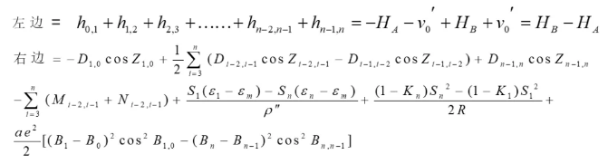
數據模型:

限差

三、項目驗證
為了驗證精密三角高程測量的精度, 內蒙古自治區測繪院使用徠卡TCRA1201全站儀、徠卡TS30全站儀及徠卡TS60全站儀等檢測了很多段用數字電子水準儀測得二等水準路線。其結果如表所示, 精密三角高程測量是完全可以達到二等水準測量的要求。

四、經驗積累、廣泛應用
自2010年5月以來,內蒙古自治區測繪院在呼和浩特、包頭、鄂爾多斯、巴彥淖爾市、烏蘭察布市、赤峰市已成功的使用徠卡自動全站儀精密三角高程測量代替二等水準測量1700多千米;在烏蘭察布市、呼倫貝爾市、興安盟、赤峰市等地方成功的使用徠卡自動全站儀精密三角高程測量代替三等水準測量4000多千米。

經過數年的研究,不同時間,不同區域,所測得的數據基本都能滿足國家二等水準測量規范的要求。徠卡自動全站儀搭配三角高程測量軟件、計算軟件和正確的測量方法,達到了目的和效果。同時我們也積累了諸多的外業經驗:
盡可能使用無伸縮腳架觀測,測段起、末水準點上,對中桿要放穩,保持高度不。
對向觀測時,如一站觀測時間過長,應重測對向觀測。
白天平均氣溫超過26℃時,在保障安全的作業前提下,最好在夜間作業,提前踏勘、選定觀測路線和測站點,更能顯著提高作業效率。
白天作業視線長度不宜超過800米,經過大量測量數據證明500米左右為最佳觀測距離。
白天作業時間遵照水準測量規范上的要求,由于在陽光直射和地面溫度較高,熱氣浪大時大氣折光影響較大。
自動照準觀測,視場內不能有遮擋物在棱鏡前。
視線不能通過煙火上空,觀測目標背后不能有大面積反光地物(蔬菜大棚),大面積水域。
在ATR自動照準時盡量避免陽光直射,由于正對太陽時,在自動照準光路中會有噪聲,從而影響自動照準的精度。

五、總結
傳統二、三等水準在山地、高山的測量中,需要耗費大量的人力、物力和財力,且效率極低。以傳統水準測量為例,在山地連測二、三等水準,單程連續觀測前后視距5-10米,一站一站連測,一個組一天連測3-5公里左右,依據財政部、國家測繪局2009 年頒布的《測繪生產成本費用定額》計算,100個水準點需要聯測1000千米。若對這些點進行二等水準觀測,100個水準點觀測的費用為207萬元,一個組5人需要400天完成。而同樣任務利用徠卡自動全站儀精密三角高程聯測二等水準,一個組一天聯測8-10公里左右,200天以內就可以完成1000千米的水準測量,節省大量的人力、物力。應用徠卡自動全站儀精密三角高程代替二、三等水準測量在困難地區聯測,可產生巨大的經濟效益。
徠卡自動全站儀精密三角高程測量具有傳遞高程靈活、方便、受地形條件限制較少等優點,徠卡測量機器人超高的測角測距精度,為精密三角高程測量提供了硬件保障,目前徠卡自動全站儀精密三角高程測量在大地測量、工程測量中得到了廣泛的應用。
更多相關
CORS基準站建設的方式、步驟、注意事項等知識大科普
如今,越來越多國家、地區、城市已經建設或準備建設自己的CORS系統。 全球范圍連續運行參考站(CORS站點分布) CORS,簡單來說就是通過參考站連續采集高質量的GNSS原始觀測數據為各行業移...
科力達新品圖寶定位儀上市,輕巧有顏,全“屏”實力!
科力達新品來啦~ 圖寶定位儀 給您360度花樣驚喜~ 小巧,但不可“小瞧” 圖寶定位儀小而靈巧,盡顯非凡。它是科力達2020年全新推出的一款定位組合產品,由高精度接收機搭配高清平板,標配測...
中海達iBEAM 8140P淺水多波束測深儀
中海達iBEAM8140P淺水多波束測深儀:高效精細水下地形測量的利器在現代海洋測繪、內陸水域調查和水利工程領域,對水下地形進行高精度、高效率的測量是至關重要的基礎工作。中海達集團推出的iBEAM...
千尋星地一體,這次固定“超速了!”
傳統星基太慢、又不準? 電臺模式麻煩?又想告別1+1作業模式? 無網絡信號,或網絡斷續不穩定? 坐標框架不統一、又需點校正? 👇👇👇 繼5...
無人機傾斜攝影測量技術應用范圍現狀與發展前景
近幾年以來發展起來的一項新的測量技術傾斜攝影測量技術,其改變了傳統航測遙感影響只能從垂直方向進行拍攝的限制,傾斜攝影測量技術利用多臺傳感器從不同的角度對數據采集,高效快速的獲取海量的數據信息,真實...
2021胡潤世界500強發布!海克斯康上榜
在2021年公布的《2021嘉興·胡潤世界500強》榜單中,海克斯康以2433億人民幣估值榮登484位,類屬軟件工業領域。“胡潤世界500強”上榜...
南京徠卡全站儀維修檢定租賃中心
南京徠卡全站儀維修檢定租賃中心,江蘇徠卡全站儀維修水準儀維修,范圍包括:南京、無錫、徐州、常州、蘇州、南通、連云港、淮安、鹽城、揚州、鎮江、泰州市、宿遷市,江蘇維修徠卡全站儀水準儀來南京環球測繪!徠卡...
ZT10全站儀搭配中緯智測——簡單高效的全站儀操作軟件
隨著時代的進步、科技的發展,現代工程對施工質量與作業效率的要求愈來愈高,全站儀作為廣泛應用于施工測量中重要設備,人們對它的網絡化、智能化等需求同樣也隨之提高。 傳統全站儀受限于系統和屏幕尺寸,屏...











環球測繪微信